Undirected Graph Clusters
The fdp layout program supports edges between nodes and clusters and cluster-to-cluster. The syntax is fairly obvious. fdp is being actively worked on, so the probability of hitting a bug is higher than with neato. Also the quality of the layouts will be improving.

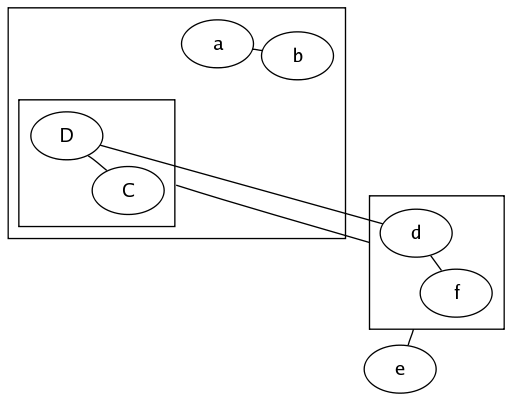
graph G {
  e
  subgraph clusterA {
    a -- b;
    subgraph clusterC {
      C -- D;
    }
  }
  subgraph clusterB {
    d -- f
  }
  d -- D
  e -- clusterB
  clusterC -- clusterB
}

[SVG] [ Back to Graphviz: Home Page | Gallery ]

Copyright © 1996-2004 AT&T. All rights reserved.